时间:2020-04-30 点击: 次 来源:不详 作者:佚名 - 小 + 大
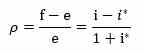
| 来源:潘捷固定收益与资产配置研究 原标题:外需下滑与内需提振下的债市展望——固定收益专题报告 目 录 一、2020年一季度债市回顾 二、对接下来基本面的一些看法 2.1 全球经济增速预期下行,出口压力存在 2.2 消费增速预计回升 2.3 房地产投资预计小幅回升 2.4 制造业投资预计持续低位 2.5 财政政策仍有较大发力空间,基建增速预计抬升 2.6 通胀压力总体可控 三、对接下来债券市场的一些看法 3.1 短端利率预计持续低位,长端利率进一步大幅下行空间有限 3.2 中高等级信用利差预计维持低位,低等级仍需警惕 3.3 转债围绕“内需”主线布局 一、2020年一季度债市回顾 2020年一季度,在基本面预期下行(疫情影响),货币边际宽松(逆回购等利率下调,准备金率下行)推动下,利率债大幅走牛,国债和国开债均较年初明显下行。从2019年末至2020年3月底,10Y国债收益率和10年期国开债收益率分别下行55BP左右和63BP左右,利率曲线整体呈“牛陡”。 ![]() 2020年一季度,信用利差总体小幅走阔。分阶段来看,年初以来信用利差的走势一波三折,经历了扩大、缩小、再扩大的过程。 1月初至2月4日,信用利差有所扩大(各等级扩大的幅度在12-15bp之间),主要是由于年初质押回购利率有所上行、流动性溢价扩大,以及春节开盘后受疫情影响违约风险担忧有所上升、信用风险溢价扩大引起。 2月5日至3月3日,信用利差快速下行(各等级缩小的幅度在17-22bp之间),主要是由于各类政策密集出台减小疫情带来的负面冲击,推动流动性溢价和信用溢价收缩。 3月4日至3月27日,信用利差再次上行(各等级扩大幅度在20-30bp之间),主要是由于海外疫情扩散引发全球经济增速下降的担忧,造成信用风险溢价扩大。进入3月后,海外新增确诊病例数快速上升,全球金融市场大幅波动,股市、高收益债等风险资产大幅下跌。 ![]() 2020年一季度,信用融资环境继续改善,包括民企在内的各类发行人的净融资规模均有所增加。2020年1月至3月信用债净融资额大幅提升,分公司属性来看,民企融资情况也进一步改善。 我们认为,信用债融资环境的改善具有持续性。 一方面,债券市场的走势总体对信用融资环境较为有利。债券市场表现较好的时期,由于市场对债券的投资和配置需求增加,有利于信用债的发行,比如2015-2016年期间信用债净融资规模持续上升。目前来看,资金面难以明显收紧,同时根据利率平价计算国内短端利率存在下行空间(具体可参见报告《对海外历史上的“大萧条”与“次贷危机”的回顾和对未来市场的一些思考》),债券市场仍然相对乐观,有利于信用债的发行。 另一方面,注册制改革等政策有利于信用债发行量的增长。《国务院办公厅关于贯彻实施修订后的证券法有关工作的通知》发布,指出“落实好公司债券公开发行注册制要求。依据修订后的证券法规定,公开发行公司债券应当依法经证监会或者国家发展改革委注册。依法由证监会负责作出注册决定的公开发行公司债券申请,由证监会指定的证券交易所负责受理、审核。依法由国家发展改革委负责作出注册决定的公开发行公司债券申请,由国家发展改革委指定的机构负责受理、审核。申请公开发行公司债券的发行人,除符合证券法规定的条件外,还应当具有合理的资产负债结构和正常的现金流量。鼓励公开发行公司债券的募集资金投向符合国家宏观调控政策和产业政策的项目建设。” 目前,从新《证券法》以及各个发布的文件来看,公开发行公司债和企业债的主要变化如下:第一,公司债和企业债的公开发行实行注册制。第二,新《证券法》对公开发行公司债券的条件和要求有所放松,包括:取消净资产规模的限制,取消债券累计余额的限制等。 ![]() 2020年一季度,中证转债指数整体小幅上涨0.02%。分阶段来看,2019年年底至1月初,股市和转债市场表现较好,科技股、地产竣工相关行业、农林牧渔等板块涨幅靠前。2020年2月,节后开盘股价和转债大跌,之后随着资金面宽松、各类逆周期政策密集出台,再融资新规落地等利好因素逐渐出现,股市和转债市场快速回升。3月以后,随着海外疫情上升,全球股市大幅波动,国内股市和转债市场也出现大幅下跌。 转债市场估值上升至较高水平。从转债市场的平均隐含波动率来看,3月底这一指标上升至35%左右,高于历史中位数26%。 ![]() 二、对接下来基本面的一些看法 2.1 全球经济增速预期下行,出口压力存在 IMF4月14日发布了4月的世界经济展望,预计2020年全球GDP实际下滑3%,美国、欧元区、日本分别下滑5.9%、7.5%和5.2%,中国GDP增速下滑至1.2%。 世界银行在3月末至4月初发布了对全球发展中经济体的最新增长预测。预计2020年发展中国家经济体GDP实际下滑0.5%左右;除中国以外的发展中国家经济体增速预计在1.9%附近。 根据彭博4月调查,机构对全球和主要经济体2020年增速也有较大幅度下调。机构对于全球2020年GDP实际增速预测中位数下降至-1.5%;对美国欧元区和日本的2020年GDP实际增速预测中位数分别为-3.4%,-5.1%和-2.5%。 彭博4月调查还给出了机构对于主要经济体GDP季度实际增速的预测结果。机构对于美国、欧元区和日本二季度GDP实际增速预测的中位数分别为-7.1%,-8.6%和-4.5%。 ![]() ![]() 大致估算外需下降对中国出口的影响:例如美国GDP下降对中国出口增速的影响大致等于“美国GDP同比*进口收入弹性*对美出口占中国总出口比重”。 进口收入弹性方面,各国进口增速通常与GDP增速成比例变动,也即进口收入弹性变动不大。我们使用1990年以来美欧日以及其他国家季度GDP增速和该国进口增速做回归,估算了各国进口收入弹性。对各国出口占中国总出口占比方面,2019年对美、欧、日和其他地区出口占比分别为16.7%左右,17.1%左右,5.7%和60.4%左右。 结合上文各类机构对2020年全球和各区域经济的预测,对于2020年各国家和地区年度GDP增速,我们估计了三种情形下的中国2020年出口增速:取上文中的最高估计作为情形1,最低估计作为情形3,二者均值作为情形2。对于2020年二季度各国家和地区GDP增速,取彭博4月调查的机构预测中位数,作为二季度海外增速假设。在三种不同情形下,预计出口增速在-1.3~-7.8%区间内,中性假设下出口同比下滑4.5%左右,二季度出口或存在较大下行压力。 出口下滑直接影响GDP净出口分项,对制造业投资增速有一定影响,也会对消费等其他分项构成一定负面影响。从08年以来出口和名义GDP季度增速之间的大致关系来看,出口每变动1个百分点,名义GDP增速变动0.25个百分点左右。 如果全球经济增速放缓,影响出口,对于利率中枢持续有下行驱动。 ![]() ![]() 2.2 消费增速预计回升 消费在中国经济中的占比持续上升。根据2018年GDP支出法数据,居民消费和政府消费共占GDP的55.3%左右,消费在中国经济中的比重持续上升。 3月数据显示,消费增速处在恢复过程中。3月份,社会消费品零售总额同比下降15.8%,高于前值-20.5%。其中,除汽车以外的消费品零售额23841亿元,下降15.6%。从结构来看,消费增速呈现出商品好于餐饮,网上好于网下的特点。从销售商品类型来看,统计局给出的所有商品分项3月同比均较2月改善,其中文化办公用品和通讯器材增速由负转正,体现消费者大额消费和企业支出正在恢复。 ![]() 我们认为,影响消费的变量主要包括:1)收入增速。2003年以来全国居民人均可支配收入累计增速,与GDP名义累计增速相关性为0.58。2)收入差距。由于高收入群体储蓄率高,低收入群体储蓄率低,因此收入差距对于边际消费倾向有很大影响。西南财经大学出版的《中国家庭金融研究(2016)》一书中,抽样调查统计了不同收入家庭的2015年储蓄情况,即当年家庭总收入减去家庭总支出。数据显示,中等收入及以下收入家庭储蓄均值均为负数,较高收入家庭储蓄均值仅为1225元,而高收入家庭储蓄均值达到114050元;此外,低收入家庭中,93%的家庭储蓄为负,随着收入的提升,负储蓄家庭的比例显著下降。3)房价。房价上升使房租增加,以及预期买房成本上升,储蓄率上升。同时,房价上涨也会使得收入差距扩大。4)居民债务。居民债务增加或使得当期支出增加,但是还本付息压力会使得后续消费支出下降。 我们使用07年以来数据,对全国居民人均消费支出累计同比构造AR(1)模型,结果显示,收入增速和房价是对消费影响最大的变量,调整R2达到93.6%;收入增速与消费正相关,房价在当期拉动消费,但对下一期消费有更大的负面影响。自变量包括以下3个变量:1)全国居民人均可支配收入累计名义同比;2)70个大中城市二手住宅价格指数当月同比,取每季度末值转化成季度数据;3)70个大中城市二手住宅价格指数同比的滞后项。由于存在多重共线性问题,例如房价和居民信贷高度相关;房价和收入增速均会影响收入差距。 据新华社报道,中共中央政治局4月19日召开会议,分析研究当前经济形势,部署当前经济工作。会议提出:“要坚持房子是用来住的、不是用来炒的定位,落实好一城一策、因城施策、城市政府主体责任的长效调控机制。”对房价的再次定位预计有助于形成稳定的房价预期,利好消费回升。 除此之外,各地发行消费券,也将对消费起到一定拉动。据21世纪经济报道4月15日新闻,截至4月上旬,在促消费、扩内需的政策导向下,全国已有超过30个城市发放累计逾56亿元的消费券。消费券有很大的乘数效应。据杭州市政府官网,截至4月16日24:00,杭州已兑付政府补贴3.21亿元,带动消费34.22亿元。据中国新闻网报道,“河南省发展改革委副主任支安宇17日表示,郑州市发放的首批5000万元普惠性消费券,截至4月7日,核销1427万元,拉动消费1.87亿元,拉动效应达13倍。据微信支付公布的信息,3月底,湖南省总工会通过微信小程序发放消费券后,至4月7日,湖南线下微信支付消费增长270亿元;深圳市罗湖区4月1日首次发券,仅6天带动消费超30倍;山东青岛市城阳区消费券上线后,带动消费14倍。” 我们认为接下来消费增速预计回升。 ![]() 2.3 房地产投资预计小幅回升 房地产开发投资主要可以拆分成土地购置费和施工建安及其他支出两个部分。2019年土地购置费占地产投资比重上升至31.5%左右。 土地购置费方面,我们认为20年增速预计较当前水平继续回升。从一季度情况来看,土地供给节奏加快,尤其一线城市供地增速显著上升。据新浪财经报道,4月10日上海举行新闻发布会,“企业投资占全社会投资的75%以上,主要是房地产开发和制造业两大板块。激发社会投资活力对投资稳增长具有关键作用。具体包括7条政策措施:一是保持土地市场交易平稳有序。疫情防控期间,对采取定向挂牌出让的地块,取消现场交易环节,直接电子挂牌交易并确认竞得。对公开招标拍卖挂牌方式出让的地块,现场交易环节通过网络方式进行。顺延开竣工和投达产履约时间,消除疫情对土地出让合同履约的影响。二是加快经营性用地出让节奏。夯实土地供应计划,适当增加年度土地供应量。针对不同出让方式,采取差别化入市管理。三是加快推进城市更新。存量工业用地经批准提高容积率和增加地下空间的,不再增收土地价款。支持利用划拨土地上的存量房产发展新业态、新模式,土地用途和权利人、权利类型在5年过渡期内可暂不变更。四是减轻房企入市成本压力。今年开工建设的住宅项目可延期缴纳城市基础设施配套费。允许符合条件的房企延期缴纳土地增值税。五是降低制造业项目用地成本。保障重点转型区域制造业用地规模。协调推进桃浦、南大、吴淞、吴泾、高桥等重点区域整体转型,降低项目落地成本。六是提高存量土地投资强度。精准实施混合用地出让、容积率提升、标准厂房分割转让、绿化率区域统筹等政策,高效利用存量土地。” 新开工和施工预计缓慢回升。从3月情况来看,销售和新开工面积增速虽然有所回升,但仍然为负值。由于劳动力市场和居民收入短期受到影响较大,预计地产销售仍然需要一段时间缓慢回升。销售增速缓慢回升,或对地产开发到位资金情况起到一定影响。从地产开发资金来源可以看出,2019年其他资金(包括个人预付款、个人按揭贷款等)已经占到房企资金来源的53.2%,由于销售维持负增长,一季度其他资金累计下滑19.57%,对地产投资资金来源有影响。 综上所述,2020年我们预计房地产开发投资累计增速将较19年增速小幅下滑,至0-5%区间。 ![]() 2.4 制造业投资预计持续低位 3月数据显示制造业投资增速小幅回升,但仍低于整体投资增速。前3个月制造业投资增速回升至-25.2%,1-2月为-31.5%。外需、工业企业利润等均是影响制造业投资增速的重要变量,制造业投资增速的回升幅度预计比较有限。 ![]() 2.5 财政政策仍有较大发力空间,基建增速预计抬升 财政政策预计更加积极。据新华网报道,3月27日中共中央政治局召开会议提出,积极的财政政策要更加积极有为,稳健的货币政策要更加灵活适度,适当提高财政赤字率,发行特别国债,增加地方政府专项债券规模。地方债方面,根据中国政府网发布的一季度财政收支数据新闻发布会,前期提前下达了2020年部分新增地方政府债券额度18480亿元,包括一般债券5580亿元、专项债券12900亿元。截至4月15日,全国各地发行新增地方政府债券15691亿元,占提前下达额度的85%;其中,发行一般债券4624亿元、占83%,发行专项债券11607亿元、占90%。按照国务院常务会议部署,各地发行的新增专项债券,全部用于铁路、轨道交通等交通基础设施,农林水利,市政和产业园区基础设施等领域重大基础设施项目建设。近期拟再提前下达1万亿元地方政府专项债券额度,力争5月底发行完毕。 财政政策对经济有怎样的拉动?一方面,根据凯恩斯的总需求理论,税收T,政府支出G以及转移支付TR的变动不仅直接影响自主支出,还会形成一部分人的收入,增加其消费支出,再构成其他人的收入,如此往复。 计算结果显示,近年来我国边际消费倾向大约在0.6左右,对应的近18年平均财政支出乘数在2左右,减税乘数在1.3左右。 从投资领域来看,据21世纪经济报道,4月20日的国家发改委新闻发布会上,官方首次明确了“新基建”的范围,包括信息基础设施、融合基础设施、创新基础设施三个方面。一是信息基础设施。主要是指基于新一代信息技术演化生成的基础设施,比如,以5G、物联网、工业互联网、卫星互联网为代表的通信网络基础设施,以人工智能、云计算、区块链等为代表的新技术基础设施,以数据中心、智能计算中心为代表的算力基础设施等。二是融合基础设施。主要是指深度应用互联网、大数据、人工智能等技术,支撑传统基础设施转型升级,进而形成的融合基础设施,比如,智能交通基础设施、智慧能源基础设施等。三是创新基础设施。主要是指支撑科学研究、技术开发、产品研制的具有公益属性的基础设施,比如,重大科技基础设施、科教基础设施、产业技术创新基础设施等。 根据工信部下属赛迪智库3月底发布的《“新基建”发展白皮书》,预计“新基建”七大领域(5G、特高压、城际高铁和轨道交通、新能源汽车充电桩、大数据中心、人工智能、工业互联网)在2020-2025年共计拉动投资近10万亿左右,拉动产业链总投资近17万亿左右;如果投资平均分布在每一年,则“新基建”在2020年拉动投资约1.66万亿左右,产业链总投资2.85万亿左右。 我们认为,接下来基建增速有望明显上升。 ![]() ![]() 2.6 通胀压力总体可控 3月22日,央行官网公布 “应对国际疫情影响,维护金融市场稳定”发布会实录,央行副行长陈雨露表示,“目前我国宏观经济运行平稳,总供给和总需求是基本平衡的,所以不存在长期通胀或者通缩的基础。2020年,稳健的货币政策会更加注重灵活适度,根据疫情的发展来把握好政策出台的力度、节奏和重点,保持广义货币M2和社会融资规模增速与国内生产总值名义增速基本匹配,在这种情况下,既要保持物价的基本稳定,同时又能够防范信用收缩的风险和经济下行出现叠加共振,处理好稳增长、防风险和控通胀的综合平衡关系。” 食品价格方面, 1)猪价同比预计难以大幅上行 从2018年下半年以来,CPI的上涨主要是由猪价推动的结构性上涨。但从目前来看,今年猪价同比大幅上行概率不大。 第一,猪肉供需情况已有所改善。从2019年10月至今,生猪存栏量和能繁母猪存栏量均已止跌回升。第二,猪肉价格已开始回落,本轮猪周期上行阶段预计进入后半程。自2019年10月猪肉供需情况改善后,22省市生猪价格已从高位开始回落,截至2020年4月10日,22省市生猪价格从41元/千克回落至34元/千克左右。从历史来看,一般猪周期上行阶段持续1年半至2年左右。本轮猪周期上涨从2018年8月非洲猪瘟爆发开始持续至今,按此推算,预计本轮猪价上行周期预计截至2020年年中左右。第三,我国已扩大猪肉进口量。 从价格同比效应来看,由于猪肉去年基数较高,未来CPI项猪肉同比下行压力加大,对CPI同比形成拖累。 ![]() 2)主要粮食作物涨价风险不大 第一、2019年粮食产量高,粮食生产结构进一步优化。国家统计局公布的全国粮食生产数据显示,2019年全国粮食总产量66384万吨(13277亿斤),比2018年增加594万吨(119亿斤),增长0.9%,创历史最高水平。 第二、我国谷物供应基本自给。根据中国粮食安全白皮书:中国实现谷物供应基本自给。 第三、国内外主要粮食库销比均有所改善。根据美国农业部USDA预测年度(2019/2020)的数据,中国主要粮食小麦、大米、玉米的库销比均在70%以上。从库销比与价格的相关性来看,整体呈负相关。我国大豆由于主要依赖进口,库销比仅20%左右,但近年来趋势仍稳布上升。并且,从全球来看,根据美国农业部的供需平衡表,全球农产品的库销比都呈现上升趋势,全球大豆库销比与国际大豆价格走势也基本呈负相关。 ![]() ![]() 非食品价格方面, 石油价格预计受到供大于求的影响,仍将维持低位。原油下跌或将明显拖累PPI,下游产品成本也将逐步回落。根据2001年至2019年布伦特原油价格同比对PPI同比的回归结果来看,原油价格同比每下跌1%,将影响PPI同比下降0.11%左右。近期,国际原油价格大幅下跌,考虑到基数效应,预计后续原油价格同比大概率仍将维持低位。 年内,我们预计,CPI同比将呈回落趋势,而PPI同比年内大概率在低位运行。 ![]() 三、对接下来债券市场的一些看法 3.1 短端利率预计持续低位,长端利率进一步大幅下行空间有限 对于国内利率走势,我们认为,短端仍有下行空间,一方面,资金面难以明显收紧,年初至4月22日,7天逆回购利率、MLF利率以及1年期LPR利率已经下调,逆周期调节态度明显;另一方面,根据利率平价测算,目前国内的短端利率下行空间存在。 利率平价理论描述了两国利率水平差异对该国货币汇率所起的作用。 在抛补的利率平价模型中,f和e分别为远期汇率和即期汇率,均为直接标价法。i*代表外国利率,i代表本国利率。投资者可以选择持有外币,一年之后得到(1+ i*)单位外币,也可以在当前时点按照即期汇率e将外币换成本币,一年后得到e(1+i)单位本币,同时在远期外汇交易市场上按照远期利率f卖掉这e(1+i)单位本币,得到e(1+i)/f单位外币。如果两种方式收益不同,投资者会进行无风险套利,使得两种方式收益趋同。因此,利率平价等式e(1+i)/f=1+ i*等式恒成立。也可以写作如下等式。??为汇率的升(贴)水率。 ![]() 根据上式可以解出利率平价下的一年期中国国债收益率水平。从下图可以看出,目前短端利率明显高于利率平价隐含水平,短端利率仍有下行空间。 ![]() 对于长端利率,我们认为,接下来的债市长端利率将在外需下行和政策对冲中博弈,长端利率之后下行较难“一帆风顺”。 当然,从更长期来看,人口因素,宏观杠杆率因素,产业转型升级因素,经济增速中枢因素等都将使得利率中枢趋于下行。此外,债券市场对外开放的稳步推进,也将吸引海外资金,压低国内利率中枢。 3.2 中高等级信用利差预计维持低位,低等级仍需警惕 全年来看,我们认为信用违约风险总体可控。一方面,2020年信用债到期和回售规模下降,再融资需求下降。另一方面,之前民企信用债发行人的违约率已经处于相对高位,进一步上升的机率不大。按发行人统计,2018年新增的民企发行人违约数量占18年年初民企发行人的5%左右,2019年新增民企违约数量占19年年初民企发行人的4%左右。 疫情发生后信用政策的积极推进也是一个有利于信用风险降低的重要变量。例如,《关于进一步强化金融支持防控新型冠状病毒感染肺炎疫情的通知》,其中提到,“加强制造业、小微企业、民营企业等重点领域信贷支持。金融机构要围绕内部资源配置、激励考核安排等加强服务能力建设,继续加大对小微企业、民营企业支持力度,要保持贷款增速,切实落实综合融资成本压降要求。增加制造业中长期贷款投放”等。 信用利差预计维持低位,但AA-等低评级主体或难以明显受益于信用宽松,对于低评级信用债仍需警惕。一方面,各国的货币政策和流动性比较宽松的局面短期难以改变,流动性溢价扩大的风险较低;另一方面,债券市场的走势总体对信用融资环境较为有利,注册制改革等政策有利于信用债发行量的增长,宽信用具备持续性,信用风险溢价大幅扩大的概率也不高。但是,由于信用宽松主要集中于中高等级的信用债发行人,对低评级主体利好有限。 从一季度信用债净融资的情况来看,不同评级的发行主体间也存在明显的分化,AA及以上评级的信用债净融资大幅改善,但AA-等级信用债净融资仍然较差。AAA评级信用债净融资改善幅度最大,其次分别是AA+和AA评级。 地产债的超额利差主要受销售、政策调控等因素影响。从历史情况来看,如果之后销售数据趋于改善,地产行业的超额利差可能还有一定的下行空间。例如,从2012年全年地产债超额利差来看,从年初的110bp左右下降至年底的50bp左右,前期受政策放松驱动,后期受销售数据的改善驱动。 目前房地产行业超额利差约为70bp,高于历史上66%左右的时期。 横向对比来看,目前房地产行业的超额利差仅次于纺织服装、农林牧渔、电气设备、计算机、家用电器、通用机械、单子、通信、化工、商业贸易、医药生物、采掘、城投等13个申万行业,仍处于36个申万一级行业中较高的位置。 ![]() ![]() 3.3 转债围绕“内需”主线布局 目前,转债估值处于较高水平,制约转债的性价比和操作空间。估值较高的时期难有比较大的机会,但结构性机会存在。目前转债市场平均隐含波动率为31%左右,高于历史上60%以上的时期。 之后的转债市场应该以结构性机会为主,我们建议,围绕“内需”主线布局。 根据我们之前报告《如果外需下滑,影响几何?——固定收益专题报告》,海外情况主要可以从两方面影响国内经济和产业:第一,从需求端影响,如果海外企业生产停滞、居民消费需求下降,将导致中国相关出口企业收入下降;第二,从生产端影响,如果上游海外企业停工,将导致国内企业的一些原材料、核心部件出现短缺。 国际投入产出表可以用于估算各行业与海外其他国家之间的业务关系。全球投入产出数据库(WIOD)2016年发布了国际投入产出表(2014年),其中给出了43个国家的不同行业之间的投入产出关系。该表格详细介绍了国际生产和使用的所有流量的增加值,包括不同国家各行业的中间产品(用于生产加工)和最终产品(用于最终消费)交易,不同国家各行业的附加值等信息。 ![]() 根据国际投入产出表,可以计算国内不同行业所投入的中间品中来自国外生产的中间品的价值占比、国内不同行业所生产的产品中用于国外中间需求和最终需求的价值占比,分别可以反映不同行业的生产资料投入对国外的依存度,以及不同行业产品的外需占比。 从生产端来看,中间品需求中,海外中间品投入占比较高的行业有:焦炭和精炼石油产品制造 ,计算机、电子和光学产品制造,基本金属制造业,航空运输,计算机程序设计咨询与信息服务,采矿业,林业,电力、燃气、蒸汽和空调供应,纸及纸制品,科学和技术活动,化工品制造 ,电气设备制造,机械设备制造,橡胶塑料制品制造,其他非金属矿产品,科学研究与发展,其他运输设备制造等。 从需求端来看,海外中间需求和最终需求占比较高的行业有:家具制造业,计算机、电子和光学产品制造,航空运输,纺织服装与皮革制造,电气设备制造,水运,机械设备制造,其他运输设备制造,金属制品制造(机械设备除外),橡胶塑料制品制造,批发贸易(机动车辆和摩托车除外),零售贸易(机动车辆和摩托车除外),法律会计和咨询管理,计算机程序设计咨询与信息服务,化工品制造等。 根据产出端和需求端的对外依存度,可以将各行业与进出口的关系划分为五种类型,分别为:供需均受到进出口影响较大(国外中间品投入占比较高,海外需求占比较高)、需求受影响较大(国外中间品投入占比较低,海外需求占比较高)、供给受影响较大(国外中间品投入占比较高,海外需求占比较低)、供需受影响均较小(国外中间品投入占比较低,海外需求占比较低)、供需均不受影响(国外中间品投入占比和海外需求占比均为0)。 受海外疫情和进出口影响较大的行业有:计算机、电子和光学产品,航空运输,电气设备,机械设备,其他运输设备,橡胶塑料制品,家具制造,纺织服装与皮革制造,水运,金属制品,焦炭和精炼石油产品,基本金属等。 受海外疫情和进出口影响较小的行业有:服务业(如机械设备安装与维修,汽车摩托车批发零售贸易与修理,家政服务,住宿与餐饮服务,邮政与快递服务)、影视娱乐、金融、建筑、房地产、国防、电信、农业与养殖业、污水处理以及水供应等。 ![]() ![]() 转债可以重点关注以下一些投资方向: 1、传统基建和新基建相关行业。据央视财经报道,2020年4月2日,国家发改委首次明确新型基础设施的范围,主要包括3个方面内容:一是信息基础设施,比如以5G、物联网、工业互联网、卫星互联网为代表的通信网络基础设施,以人工智能、云计算、区块链等为代表的新技术基础设施,以数据中心、智能计算中心为代表的算力基础设施等。二是融合基础设施,比如智能交通基础设施、智慧能源基础设施等。三是创新基础设施,比如重大科技基础设施、科教基础设施、产业技术创新基础设施等。 相关转债标的可关注:红相转债(红相股份(300427)),白电转债(白云电器(603861)),永高转债(永高股份(002641))和森特转债(森特股份(603098))。 红相转债(红相股份(300427)):公司主要从事电力检测及电力设备、铁路与轨道交通牵引供电装备、军工电子等产品的研发、生产、销售以及相关技术服务,并逐步扩展新能源(风电、光伏电站等)项目的建设与运营。目前公司已形成电力、军工、铁路与轨道交通三大业务板块协同发展的业务格局。 1、电力领域 公司在电力领域的主要业务包括电力状态检测、监测产品、电测产品、智能配网及其他电力设备等,涵盖电力领域中发电、输电、变电、配电、用电的各个环节。公司是国内较早开展电力设备状态检修技术研究、应用及推广的企业之一,经过多年的技术沉淀和市场积累,公司已经形成了基础学科覆盖较广、产品形态相对齐全、业务种类相对完善的电力设备状态检修体系。在基础学科覆盖方面,公司建立了基于声学、光学、电磁学、化学、电力电子等学科在电力设备安全检测方面的技术体系;在产品形态方面,公司具备了电力检测传感器、手持式终端设备、便携式终端设备、在线安装式检测设备、电力分析软件、大数据云平台等软硬件产品;在业务种类方面,公司提供了设备销售、有偿技术服务、故障分析与诊断评估、整站解决方案等多样化的业务类型。 公司的电力状态检测、监测、电测产品是感知、分析和判断各类电力设备运行参数、健康状态的主要设备,广泛应用于特高压、超高压、高压、中低压等各电压等级变电设备、输配电线路的安全检测和监测。是保障电网安全、稳定、可靠运行,建设智能坚强电网和实施状态检修的重要设备。公司的智能配网产品包括站所终端(DTU)、馈线终端(FTU)等,主要用于配电网中开关设备和配电线路的数据采集、分析、控制,是建设自动化、智能化配电网的重要组成设备。 公司的其他电力设备指变压器等电力设备,其中变压器是电力生产和变送等各个环节的必备和重要设备。目前,公司在电力领域的主要客户为国家电网公司及其下属公司、南方电网公司及其下属公司、发电集团旗下企业、铁路供电系统、石油石化等大型电力用户。公司的电力检测及电力设备是建设坚强智能电网和泛在电力物联网的重要组成部分。 此外,公司子公司银川卧龙和涵普电力具有电力工程施工资质,能够为客户提供光伏、风电等电力工程总包业务及电力工程服务。 2、军工领域 子公司星波通信专业从事射频/微波器件、组件、子系统及其混合集成电路模块的研发、生产、销售和服务,致力于相关技术在机载、弹载、舰载、地面设备等多种武器平台上的应用,产品主要为雷达、通信和电子对抗系统提供配套,是国防信息化、数字化、现代化建设的重要基础,客户主要为国内军工科研院所、军工厂、军事院校等。星波通信已经具备了技术研发能力强、产品工艺可靠性高、客户需求响应快的综合实力,其微波产品频率范围覆盖了从DC至40GHz的频段,是一家军工资质齐全,且为多种高、精、尖重点武器系统及军用通信系统进行定向研制和配套生产的民营军工企业。目前,星波通信的主要客户为军工科研院所和军事装备生产企业。 3、铁路与轨道交通领域 子公司银川卧龙是国内最早承接铁路牵引变压器国产化项目的企业之一,也是原铁道部牵引变压器科技创新的重要合作单位之一,在国内铁路牵引变压器市场拥有较高且稳定的市场份额。铁路牵引变压器是一种安装于电气化铁路沿线,承担着从电网获取电能,并向铁路接触网进行供电的电力设备,是电气化铁路的主要动力来源。铁路在新建、电气化改造、提速扩容、自然更换等方面均对牵引变压器有采购需求。由于铁路供电系统特有的技术特性和安全特性,铁路牵引变压器在技术指标、安全性和稳定性方面有别于一般变压器,参与企业相对较少,竞争程度相对较小。银川卧龙的铁路牵引变压器覆盖了我国电气化铁路上27.5kV至330kV的全部电压等级,具备多个铁路局的运行业绩证明,主要客户包括铁路总公司及其下属的多个铁路局、中国中铁、阿尔斯通等铁路建设单位。 白电转债(白云电器(603861)): 主要产品有成套开关设备、电力电容器,18年毛利占比分别约为55%、39%左右。公司主要面向国内销售,海外业务占比接近0。公司拥有华南最大的智能电网成套开关设备生产基地、全球最大的特高压电力电容器生产基地,产品广泛应用于国家电网、南方电网、轨道交通、5大发电集团、重大工业用户、市政、教育、医疗卫生等领域。1)城市轨道交通领域的城市覆盖率较高。全国开通地铁的36个城市中,参与了北京、广州、深圳等26个城市的轨道交通建设,城市覆盖率达到72%,是国内城市轨道交通领域业绩覆盖率最高的企业之一。2)超高压/特高压领域具备技术和规模优势。2015年度至2017年度在电力电容器行业工业总产值连续排名前两位,覆盖全国各省级电网公司。公司是电容器行业唯一获得国家科技进步特等奖的电容器专业制造商。3)订单增长较好。2019年上半年,新签合同订单较上年同期增长285%,为未来收入的大规模攀升奠定了扎实的订单基础。2019年1月,获得77亿供电系统设备总包的大额中标。2019年上半年,公司新开拓武汉、金华-义乌-东阳两大轨道交通市场,新中标轨道交通订单3.01亿。 永高转债(永高股份(002641)): 公司主要从事塑料管道产品的研发、生产和销售,公司塑料管道产品主要包括聚氯乙烯(PVC)、聚乙烯(PE)、无规共聚聚丙烯(PPR)等系列产品,共计5,000余种不同规格、品种的管材、管件及阀门。公司管道产品主要应用于建筑工程给水、排水、市政工程给水、排水排污、供暖、电力电缆保护、城镇中低压燃气输送、工业系统、农村饮用水、农业灌溉等诸多领域。 公司与万科、中海、招商、恒大等地产巨头保持着良好的战略合作关系。公司业务主要面向国内。 森特转债(森特股份(603098)): 主营业务: 公司为建筑金属围护系统的一体化服务商和铁路、市政道路噪声治理领域的方案提供商,主要承接金属围护系统工程(屋面系统、墙面系统)和声屏障系统工程,提供从工程咨询、设计、专用材料供应和加工制作到安装施工全过程的工程承包服务。 公司的主要产品包括金属复合幕墙板、金属屋墙面单层板(铝镁锰合金板、镀制烤漆板)和隔吸声屏障板,目前已形成金属围护系统和噪声治理系统两大业务板块,产品广泛应用于工业建筑、公共建筑及交通工程领域。 2、必需消费相关的板块,包括医药生物、农林牧渔、食品饮料、邮政快递等行业。 上述行业中可关注的转债标的有:唐人转债(唐人神(002567))、希望转债(新希望(000876))、康弘转债(康弘药业(002773))、乐普转债(乐普医疗(300003))、溢利转债(溢多利(300381))、富祥转债(富祥药业(300497))。 唐人转债(唐人神(002567)): 公司的主营业务、主要产品: 公司的主营业务由饲料的生产与销售、种猪育种与生猪养殖及肉制品加工与销售三大板块组成。公司主要产品包括饲料(猪饲料、禽饲料及水产饲料等)、种猪与商品猪、生鲜肉及各类肉制品、动物保健品等,其中饲料产品是公司收入的主要来源。公司是湖南省农业产业化国家重点龙头企业之一,按照“专业运作、产业协同、共同发展”的生猪全产业链经营指导十二字方针,公司完整构建了以生猪健康养殖为核心,以生物饲料、品牌肉品相配套的生猪全产业链经营模式;公司饲料产业为养猪产业提供最佳性价比的饲料,为养猪的精准营养提供技术支持;肉品产业提升养猪产业的生猪附加值,拓宽下游产业链,平滑生猪价格波动对公司利润的不利发展影响。 公司饲料销售主要以猪料、禽料以及水产饲料为主,着力推进家庭农场和规模猪场的开发,并逐步加大禽料和水产饲料研发、生产投入,2018年公司实现饲料销量481.01万吨。 公司在继续做好种猪育种基础上,重点发展养猪业务,构建了“原种猪—种猪—商品猪”的完整生猪繁育体系。公司打造了可复制的“1+3”自繁自养养猪模式,是根据成本、效率、环保、团队等条件综合考虑建构的养猪模式,即新建一个母猪场的同时在周边30公里范围内配套3个育肥基地,全过程为公司自繁自养,分散育肥,风险相对可控。2018年公司生猪出栏68.1万头,饲养规模居行业前列。 公司肉制品业务延续“中式香肠、休闲肉品、品牌生鲜肉”三大产品发展方向,不断研发新产品,通过经销商、商超、电商平台等多种渠道来销售。 希望转债(新希望(000876)): 主营业务: 公司是国内营收规模最大、产业布局最完善的农牧龙头企业之一,近年来不断向上下游延伸产业链,实现了饲料业务、禽链一体化业务、生猪养殖业务及食品业务的协同发展,产业链一体化程度高,协同效应明显。 公司的主营业务具体包括饲料业务、禽链一体化业务、生猪养殖业务和食品业务四大板块。 饲料业务是通过将外购的饲料添加剂与豆粕、鱼粉等蛋白原料和玉米等能量原料混合,产出供下游养殖行业畜、禽、水产等食用的饲料产品。公司的饲料产品主要包括禽饲料、猪饲料、水产料和其他料,其中,禽饲料和猪饲料除向外部销售外,还供公司的禽链一体化业务及生猪养殖业务使用。 禽链一体化业务是公司在禽养殖业务的基础上沿产业链延伸而打造的,具体包括种禽繁育、商品代禽养殖、禽屠宰等环节,最终产出生鲜禽肉分割产品。公司用于种禽繁育和商品代禽养殖的饲料产品均由公司的饲料板块提供,产出的生鲜禽肉分割产品一部分对外销售,另一部分则供给公司的食品板块。 生猪养殖业务是通过外购曾祖代种猪进行育种和扩繁,产出祖代、父母代种猪和仔猪,并对仔猪进行育肥,产出供给下游屠宰及肉类加工行业的肥猪(商品猪)。目前,公司的商品猪大部分销售给外部屠宰场,小部分供给公司内部的屠宰场。 食品业务是通过对公司禽链一体化业务产出的生鲜禽肉产品进行进一步加工,以及对生猪养殖业务产出的商品猪进行屠宰、分割、初加工、深加工等操作,产出供给终端消费市场的猪肉白条、分割品等生鲜产品及肉制品和预制菜等。 康弘转债(康弘药业(002773)): 主营业务及主要产品: 公司秉承“研发、制造、销售及传播专业创新的医药产品和知识,从根本上去改善患者个人体能和社会医疗效能,促进人类健康事业的进步——康健世人、弘济众生”的企业宗旨;始终坚持“以临床需求为导向,在核心治疗领域,深入研究、专业创新、专业合作”的经营理念;始终坚持创新与合作相结合的发展战略,以产品创新和产业合作双驱动,推进公司高质量、高速度、健康发展。公司主营业务为药品(包括生物制品、中成药、化学药)和医疗器械(主要是眼科医疗器械)的研发、生产与销售。 公司目前上市产品主要为:康柏西普眼用注射液、盐酸文拉法辛缓释片、阿立哌唑口崩片、右佐匹克隆片、舒肝解郁胶囊、胆舒胶囊、枸橼酸莫沙必利分散片、一清胶囊、玄麦甘桔胶囊、感咳双清胶囊、松龄血脉康胶囊、渴络欣胶囊十二个药品和二氧化碳激光光束操纵系统一个医疗器械。 公司现上市的12个药品中有11个品种是独家(含独家剂型)、12个品种进入国家医保目录、7个品种进入国家基本药物目录,成为国内具有代表性的新药创新型企业。 乐普转债(乐普医疗(300003)): 发行人的主要业务及产品: 发行人已建立包括医疗器械、医药、医疗服务和新型医疗业态四大板块的心血管大健康全产业链,全心全意的在心血管疾病预防、诊断、药物治疗、手术治疗、术后康复、慢病管理及再预防的全生命周期内为患者服务。 在医疗器械方面 ,发行人是国家科技部授予的国家唯一的国家心脏病植介入诊疗器械及装备工程技术研究中心,是国内高端医疗器械领域能够与国外产品形成强有力竞争的少数企业,是国内领先的心血管病植介入诊疗器械与设备的高端医疗产品产业集团。发行人医疗器械类主要产品涵盖支架系统、封堵器、起搏器及外科器械高值耗材等多个细分领域。秉承“预研一代、注册一代和生产销售一代”的原则,由冠脉药物支架为基础,夯实步伐,已步入生物可吸收医疗器械和人工AI智能医疗器械时代,引领行业由“介入植入”进入“介入无植入”时代 , 确保未来年度国际化创新器械为主体的众多新型产品分阶段分梯次上市,以期实现跨越式增长。 在医药方面 ,发行人具备原料药-制剂一体化竞争优势,拥有国内独具特色、多种类、多品种的抗血栓、降血脂、降血压、抗心衰、降血糖等5大心血管药品生产平台和营销平台,有三个市场容量达百亿的阿托伐他汀、硫酸氢氯吡格雷和胰岛素超重磅品种,也有多个市场容量大的苯磺酸氨氯地平、缬沙坦、阿卡波糖和盐酸倍他司汀片等重磅品种和超过10个以上市场容量较大的细分领域龙头药品,研发培育新型生物制药等新型药品。积极响应国家号召,积极参与国家通过药品质量及疗效一致性评价品种的集采全国推广工作,同时,借助临床和OTC连锁药店药品双营销平台并重的优势,形成心血管药品的集成销售竞争优势,确保药品板块业务的可持续性稳定发展。 在医疗服务方面, 发行人建立了覆盖中国20多个省的心血管大健康线上专家咨询、线下心内心外等主要科室为主的综合医疗服务机构相结合的全生命周期、全方位医疗服务平台。以乐普集团网络医院平台辐射全国主要省区战略合作医院、乐普心血管病专科医院、市县的基层医院。多级远程医疗服务体系、远程心电实时监测医疗服务体系,实现网络医院高端医疗资源对于全国远程医疗服务覆盖,构建以终端客户(患者、慢病管理的中老年人)为核心的心血管健康大数据平台和线上线下的服务网络体系。 在新型医疗业态方面 ,公司持续推进智能医疗设备的研发临床注册工作。报告期内,LBP50全自动臂式电子血压计、电子体温计、Poctor900血糖仪(蓝牙)及血糖、酮体、尿酸检测仪等已取得产品注册证。同时,公司护生堂电商平台通过重新规划主营品类、优化完善自有品牌产品线等策略,销售收入逐步提升。新型医疗业态是公司探索新产品、新领域,进行前瞻性、多元化战略布局的重要手段,是公司培育新的经济增长点,保障公司未来健康可持续发展的重要途径。 溢利转债(溢多利(300381)): 公司是应用现代生物技术,立足生物产业,致力特色生物药品、新型生物酶制剂、无抗植物提取物、功能性饲料添加剂的创新型高科技企业。公司拥有基因工程技术、酶工程技术、生物工程技术、液体发酵技术、固体发酵技术、复合酶协同技术、制剂剂型技术、高分子絮凝技术、酶制剂产品应用技术以及甾体激素合成等诸多创新型核心技术,为公司高速成长及持续发展奠定扎实基础。公司是中国生物酶制剂行业首家上市公司、首批高新技术企业、全球极具竞争力的甾体激素医药企业。 富祥转债(富祥药业(300497)): 公司是一家专业从事化学药物研发、生产、销售和服务的创新型制药企业,是国家高新技术企业、江西省优秀企业、江西省优秀非公有制企业、江西省创新型试点企业,并设有“省级企业技术中心”。公司拥有核心技术和较强的研发创新能力,拥有多项国家发明专利以及十多个省级重点新产品、优秀科技新产品,部分产品已纳入江西省科技创新“六个一”工程和江西省十大战略性新兴产业“生物和新医药”研发引导计划,是江西省化学合成药发展规划中的龙头骨干企业。公司长期注重EHS(环保/职业健康/安全)管理体系的建设,在与全球知名制药集团以及国内大型制药企业的合作过程中,不断提升、完善。公司是江西省第一家通过清洁生产验收的企业,也是一家安全生产标准化二级达标企业,并多次获“环境保护先进单位”、“安全生产工作先进单位”荣誉称号。公司拥有较强的市场开拓能力,是目前全球最大的内酰胺酶抑制剂原料药生产基地,也是碳青霉烯类药物及其中间体的主要供应商之一。 风险提示 1. 如果原油价格大幅回升,或财政政策力度不及预期,将影响我们对利率债走势的判断。 2. 如果正股业绩不及预期,对应转债价格出现风险。 注:本文有修改 免责声明:自媒体综合提供的内容均源自自媒体,版权归原作者所有,转载请联系原作者并获许可。文章观点仅代表作者本人,不代表新浪立场。若内容涉及投资建议,仅供参考勿作为投资依据。投资有风险,入市需谨慎。 责任编辑:李铁民 |
