时间:2020-05-11 点击: 次 来源:不详 作者:佚名 - 小 + 大
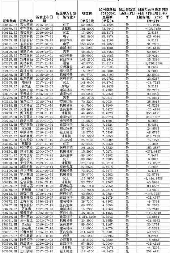
| 炒股就看金麒麟分析师研报,权威,专业,及时,全面,助您挖掘潜力主题机会! 沪指逼近2900!五月60股创历史新高,外资追捧股看这里!(附股) 来源:证券日报股市最钱线 原创 张颖 顶着“五穷”魔咒,5月份的A股市场不但实现了“开门红”,同时,在本月以来(5月6日-8日)的3个交易日中小幅攀升,上证指数逼近2900点,累计涨幅达1.23%。深证成指和创业板指同期涨幅更是均超2%,分别为2.61%和2.7%。 对此,业内人士表示,五月“开门红”后,市场热点围绕大消费、科技两条主线,一批优质白马纷纷走强。目前,大盘技术形态继续得到修复,后市反弹可期。 值得关注的是,近期,以贵州茅台为首的多只股票股价纷纷创出了历史新高。《证券日报》记者根据同花顺统计发现,在近3个交易日里,沪深两市共60只(剔除30日内上市新股)个股强势领涨,股价创出历史新高。其中,容大感光、中孚信息、青松股份和安集科技等4只个股,近3个交易日累计涨幅均超15%,分别为23.1%、22.7%、18.8%和15.8%。 在上述创新高的股票中,可以看到,三大“硬核”因素无疑成为推动股价上涨的主要动力。 首先,良好的业绩是股价上涨的基石。近七成公司今年一季度净利润实现同比增长。 统计发现,在上述60只强势股中,有40只个股2020年一季度净利润实现同比增长,占比达66.7%。其中,中新赛克、安集科技、奥飞数据、妙可蓝多、江山欧派、贝达药业等6只个股今年一季度净利润同比增幅均超100%。 其次,大消费概念股和科技股占主流。 在上述60只个股中,有20只个股属于大消费概念股,其中,医药生物股有9只,食品饮料股有9只,汽车股有2只。另外,还有8只科技股,其中,计算机股有6只,电子股有2只。 第三,资金追捧助推股价上行。 统计发现,在上述60只强势股中,近3个交易日呈现累计实现大单资金净流入状态的个股达29只,占比近五成。其中,五粮液、长春高新、青岛啤酒、贵州茅台和三一重工等5只个股,累计资金净流入均超过1亿元,分别为2.86亿元、2.79亿元、2.4亿元、1.7亿元和1.3亿元。 可以看到,上述个股不但受到市场资金的热捧,同时也被外资加仓布局。统计发现,在上述60只强势股中,贵州茅台、五粮液、格力电器、恒瑞医药、美的集团、三一重工等个股近3日均被北上资金净买入。 “A股仍会是外资首选标的”。招商资产管理(香港)有限公司总经理、招商MSCI中国A股国际通ETF基金经理白海峰告诉《证券日报》记者,我们从北上资金持仓最大的股票可以发现外资的偏好,即龙头白马:拥有核心资产,符合价值投资,抗风险能力较强,且受疫情影响估值处于较低区位,配置价值高。板块上来看,消费板块中,商超等必需消费在疫情中维持业绩上涨,可选消费在疫情稳定后可能会有报复性消费;医药、医疗器械板块因全球疫情得到控制仍需要时间,需求短时间保持上升。 金百临咨询分析师秦洪在接受《证券日报》记者采访时表示,当前A股市场已进入近期难得的做多时间窗口。一方面是因为,在某些重大政策、某些产业领域,有望出现新的超预期信息,将为A股市场提供新的做多契机。另一方面是因为,全球发达经济体相继复工,意味着全球供应链趋于完善,有利于我国经济的复苏、回稳。更何况,当前市场利率持续下行,流动性充足,再叠加政策友好的环境,因此,当前A股市场处于难得的做多时间窗口,相信,主流资金也不会轻易放弃如此较佳的做多契机。短线A股市场仍有望出现进二退一、重心稳步上移的态势,不排除上证指数在下周站稳2900点,并依托2900点,上攻3000点的可能性。 表:60只创历史新高个股情况一览 ![]() 股市有风险,入市需谨慎。股市分析文章,属个人观点,仅供参考,股民据此入市操作,风险自担。 新浪声明:新浪网登载此文出于传递更多信息之目的,并不意味着赞同其观点或证实其描述。文章内容仅供参考,不构成投资建议。投资者据此操作,风险自担。免责声明:自媒体综合提供的内容均源自自媒体,版权归原作者所有,转载请联系原作者并获许可。文章观点仅代表作者本人,不代表新浪立场。若内容涉及投资建议,仅供参考勿作为投资依据。投资有风险,入市需谨慎。 责任编辑:王帅 |
